熱伝導特性を活用した FRP 繊維配向評価と 熱伝導率 の基本
今日は 熱伝導 特性を活用した FRP 繊維配向評価システムである、
TEFOD についてご紹介したいと思います。
先日は、ほぼ一週間関西方面に出張していたこともあり、
時間を調整して「高機能素材 Week(https://www.material-expo.jp/ja-jp.html)」の展示会に顔を出しました。
そこで興味深い装置がありましたので、
ご紹介したいと思います。
FRP 繊維配向評価システムである TEFOD とは
この装置に関する概要説明は以下の所で見ることができます。
https://hrd-thermal.jp/apparatus/tefod.html
HPで書かれている特徴の要点を言うと、
・繊維の配向、量(相対比較)、ばらつきの把握が可能
・レーザーによる加熱とその後の熱拡散を把握
・非接触計測が基本
といったところです。
装置の仕様を見ると以下のように書かれています。
名称/商品名 :繊維配向評価システム/Thermal Evaluation of Fiber Orientation Distribution
測定対象 :熱拡散率、繊維状態(おもな配向角、配向のバラツキ)、分布測定
1点測定標準時間 :約60秒
使用温度範囲 :室温
ステージ移動距離:試料ステージ 100×200mm
半導体レーザ :波長:638nm 最大出力:0.4W
赤外線カメラ :素子:InSb 冷却方法:電子冷却
電源 :AC100V 50/60Hz 5A
(The information above is referred from https://hrd-thermal.jp/apparatus/tefod.html)
上記の情報から、
・測定1点当たり60秒
・測定サンプルは100 X 200 mm程度までは測定可能である
・基本は室温測定
・電源はAC100V
ということがわかり、比較的大きなサンプルが測定可能であり、
電気工事等は必要ないこともわかります。
測定一点当たりと書かれているのは、測定の基本がスポット加熱であり、
その場所の熱拡散を把握することで、
点(もしくはある程度限られた領域)の繊維配向を把握する、
という装置であることが背景にあります。
レーザーはビームスプリッターでサンプルに照射された後、
加温面に対して水平方向の熱拡散を赤外線カメラにて、
試料裏側から計測するのがシステムの概要のようです。
各スポット点について、
レーダーチャートのような形で熱拡散しやすい方向を楕円の長径とすることで、
繊維配向角度の傾向を示すというものです。
この基礎技術については、
名古屋大学大学院工学研究科、機械システム工学専攻の長野方星・山本和弘研究室にて研究開発されたようで、以下のHPでもその概況が述べられていますので興味ある方はそちらもご覧ください。
http://www.eess.mech.nagoya-u.ac.jp/theme02.html
繊維配向把握の基礎となる 熱伝導率 について
上記で紹介した TEFOD において、
繊維配向を把握する肝となるのは、
「 熱伝導率 」
です。
FRPの熱伝導率については以下のコラムでも述べたことがありますので、
こちらも合わせてご覧ください。
上記のコラムでは熱伝導率に加え、
グラフェンを用いた熱伝導率向上といった技術的取り組みについてもご紹介しました。
一方、今回の繊維配向の理解に重要なのは熱伝導率そのものに加え、
「複合材料における熱伝導率の”差”」
です。
では繊維と樹脂の複合材料であるFRPについて、
構成材料の熱伝導率がどのくらい違うのか見てみます。
まずは熱伝導率について確認します。
熱伝導率の意味合いを調べてみると、
「物体中の等温面を通って、垂直方向に流れる熱流密度と、その方向の温度勾配の比」
とのこと(参照元:理科年表2017年度版)。
同じ単語を理化学辞典 第五版(岩波書店)で調べると、
「物体内部の等温面の単位面積を通って単位時間に垂直に流れる熱量と、
この方向における温度勾配の比」
と書かれています。
個人的には理化学辞典の方がわかりやすいと思います。
上記の文言ですぐ理解できる方は大丈夫ですが、
イメージしにくい方が居るかもしれません。
技術で大切なのはこのような基本的な部分を「わかったような気がする」ことで通過してしまうことです。
よって、参考までに分かりやすい動画を見つけましたので以下をご覧ください。
海外はこの手の基本的な教育動画が充実していますね。
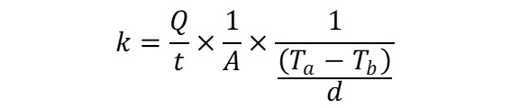
さて、上記では熱量をQ、隔壁の面積をA、その厚みをd、隔てられた高温側の温度をTa、低温側をTbとしています。
時間をtとしたとき、単位時間あたりにどのくらいの熱量を伝えられるのか、
が熱伝導率です。上記の動画では k で示されており、一般的にもそのように示されます。
その時の関係(単位時間当たりの熱移動量と熱伝導率の関係)を示したのが以下の式です。

これを見ると腑に落ちる方が多いのではないでしょうか。
上記の式を以下のように熱伝導率を直接求める式に変換すると、
理科年表と理化学辞典にて書かれていることがそのまま数式で示されます。
やはり技術のグローバル言語は数式ですね。

熱伝導率の議論は単位時間当たりの熱量ですので、
Qをtで割ったものが最初に出てきています。
さらに熱伝導率は単位面積当たりと書かれていますので、
実際の隔壁の面積Aで割り込んでいます。
また、高温側と低温側の温度差を隔壁厚みで割っています。
これはいわゆる温度勾配です。
これで熱伝導率の意味はお分かりいただけたと思います。
ここで実際の熱伝導率を見ていきましょう。
単位はすべて W/mk です(ここのkは温度のケルビンです)。
まずは繊維からです。
炭素繊維:
PAN系 10-150
Pitch系 140-620
※焼成温度によって変化するとのこと。
ガラス繊維
Eガラス 1.03
Sガラス 1.05
(以上出展:複合材料活用辞典)
次にマトリックス樹脂です。
ナイロン 0.27
ポリエチレン 0.25-0.34
(以上出展:理科年表 平成29年)
エポキシ 0.30
アクリル 0.21
フェノール 0.13-0.25
ポリプロピレン 0.2
ポリカーボネート 0.23
(以上出展:http://www.sensbey.co.jp/pdffile/materialpropety.pdf)
上記を見るとマトリックス樹脂は概ね0.2から0.3、
繊維はガラスで1.0、炭素で100(値は幅広いですが)程度になることがわかります。
つまりマトリックス樹脂の方が単純に
5倍から50倍程度、ガラス繊維や炭素繊維よりも熱拡散がしにくい
ということになります。
言い換えると、
繊維の方向に熱が拡散しやすい
ということになります。
この温度分布を視覚化しているのが TEFOD という装置といえそうです。
繊維配向や分布の理解の重要性
私個人的にはこの手の装置はあるようでなかったと思います。
もちろん、研究レベルでは報告はされていましたが、
市販品で出てきたというのは画期的です。
しかも設備の構成がシンプルというのもいいですね。
さて繊維配向把握の重要性ですが、
当然ながら異方性の度合いを理解することが第一歩です。
繊維が実際に想定される方向に配向しているのか、
もしそうでない場合、どの方向を向いているのか。
そのようなことを検証するのに好都合でしょう。
外観として繊維配向を確認する技術や製品は海外にもあります。
以下はその一例です。
PROFACTOR が販売するこの設備は、
光の反射を主体とした繊維配向を調べる装置です。
海外ではこのような光学式によって繊維配向を調べるのが主流なのです。
その一方、今回ご紹介する設備では、
「表面を加熱した際の熱拡散状態を裏面から確認する」
というロジックなので、
「表層に限らず、層間の繊維配向の影響を考慮できる」
という強みがあります。
これにより、配向の異なる材料を積層した場合、
「マクロとしてはどのような配向としてとらえるべきか」
ということがわかるようになります。
これは設計のみならず、CAEのモデリングでも効力を発揮するでしょう。
同じような理屈で繊維の量を調べられるというのもこの技術の優れたところです。
一方で留意点もあります。
一つ目が
「どこまでの厚物が計測できるのか」
ということです。
熱の拡散を捉えるのはあくまで裏側。
そのため、裏側まで熱が伝わらなければ、
熱拡散状態を捉えることができません。
熱伝導率の比較的良い炭素繊維強化のCFRPであったとしても、
マトリックス樹脂が断熱層であることに変わりはなく、
あまり厚手だと状況の把握は難しいでしょう。
加えて、計測できる領域がスポットであることにも留意しなくてはいけません。
レーザーによる昇温は基本的にスポットです。
そのため計測範囲は限られた領域となります。
また測定対象物が形状を持った場合も難しくなるかもしれません。
恐らく繊維配向を知りたいという多くのケースでは三次元形状であることが殆どだと思います。
この場合、照射するレーザーとそれによる熱拡散を捉える赤外線カメラの位置が、
常に垂直関係を保ちながら、サンプルの形状面に対しても垂直に当たる必要があります。
恐らく今後はこのようなことを踏まえ、
赤外線カメラとレーザーの垂直位置を保ちながら、
三次元形状に追従するような計測装置が必要になってくるのかもしれません。
無人状態でロボットアームで計測するというのは一案です。
いかがでしたでしょうか。
今回ご紹介した、熱拡散の特性を活用して繊維配向を調べるというのは極めて興味深いと思います。
留意点があるのは事実ですが、
要素技術としては非常に期待できるものです。
できたものの繊維配向を調べるというのは、
FRPを扱う方々にとって重要であると考えます。
このような技術も取り入れながら、
製品の特性を把握するという地道なデータ積み重ねが必要になっていくのではないでしょうか。
ご参考になれば幸いです。



